Upload folder using huggingface_hub
Browse files- README.md +107 -157
- images/s2tt-covost-bleu.png +0 -0
- images/s2tt-covost-xcomet.png +0 -0
- images/s2tt-fleurs-bleu.png +0 -0
- images/s2tt-fleurs-xcomet.png +0 -0
- images/s2tt-mintzai-bleu.png +0 -0
- images/s2tt-mintzai-xcomet.png +0 -0
README.md
CHANGED
|
@@ -15,7 +15,6 @@ base_model:
|
|
| 15 |
- BSC-LT/salamandraTA-7b-instruct
|
| 16 |
---
|
| 17 |
|
| 18 |
-
|
| 19 |
<!--  -->
|
| 20 |
|
| 21 |
# SalamandraTAV-7b Model Card
|
|
@@ -59,7 +58,7 @@ The model is intended for both research and commercial use for the speech to tex
|
|
| 59 |
|
| 60 |
### Training Framework
|
| 61 |
|
| 62 |
-
The code used to train SalamandraTAV-7b is based on the [Transformers](https://huggingface.co/docs/transformers/) library, and
|
| 63 |
|
| 64 |
### Compute Infrastructure
|
| 65 |
|
|
@@ -84,7 +83,6 @@ Training was conducted on 4 nodes, each with the following specifications:
|
|
| 84 |
The easiest way to use the model is using the custom pipeline `multimodal_mt`:
|
| 85 |
```python
|
| 86 |
from transformers import pipeline
|
| 87 |
-
|
| 88 |
pipe = pipeline(
|
| 89 |
task="multimodal_mt",
|
| 90 |
model="langtech-veu/salamandra-TAV-7b",
|
|
@@ -122,14 +120,12 @@ translation = pipe(audio_path, mode="s2tt", src_lang="English", tgt_lang="Spanis
|
|
| 122 |
Run the S2TT pipeline, specifying the target language:
|
| 123 |
```python
|
| 124 |
transcription = pipe(audio_path, mode="asr", **generation_kwargs)
|
| 125 |
-
|
| 126 |
translation = pipe(transcription, mode="t2tt", tgt_lang="Spanish", **generation_kwargs)
|
| 127 |
```
|
| 128 |
|
| 129 |
Optionally, you can also specify the source language:
|
| 130 |
```python
|
| 131 |
transcription = pipe(audio_path, mode="asr", src_lang="English", **generation_kwargs)
|
| 132 |
-
|
| 133 |
translation = pipe(transcription, mode="t2tt", src_lang="English", tgt_lang="Spanish", **generation_kwargs)
|
| 134 |
```
|
| 135 |
|
|
@@ -140,14 +136,12 @@ This is a variant which uses a CoT mechanism to generate the translation by tran
|
|
| 140 |
Run the S2TT pipeline, specifying the target language:
|
| 141 |
```python
|
| 142 |
history = pipe(audio_path, return_chat_history=True, mode="asr", **generation_kwargs)
|
| 143 |
-
|
| 144 |
translation = pipe(history, mode="t2tt", tgt_lang="Spanish", **generation_kwargs)
|
| 145 |
```
|
| 146 |
|
| 147 |
Optionally, you can also specify the source language:
|
| 148 |
```python
|
| 149 |
history = pipe(audio_path, return_chat_history=True, mode="asr", src_lang="English", **generation_kwargs)
|
| 150 |
-
|
| 151 |
translation = pipe(history, mode="t2tt", src_lang="English", tgt_lang="Spanish", **generation_kwargs)
|
| 152 |
```
|
| 153 |
|
|
@@ -156,15 +150,23 @@ translation = pipe(history, mode="t2tt", src_lang="English", tgt_lang="Spanish",
|
|
| 156 |
If you are interested in getting the intermediate results, you can do it as follows:
|
| 157 |
```python
|
| 158 |
history = pipe(audio_path, return_chat_history=True, mode="asr", **generation_kwargs)
|
| 159 |
-
|
| 160 |
history = pipe(history, return_chat_history=True, mode="t2tt", tgt_lang="Spanish", **generation_kwargs)
|
| 161 |
-
|
| 162 |
-
|
|
|
|
| 163 |
```
|
| 164 |
|
| 165 |
|
| 166 |
## Training Data
|
| 167 |
-
|
|
|
|
|
|
|
|
|
|
|
|
|
|
|
|
|
|
|
|
|
|
| 168 |
|
| 169 |
### Automatic Speech Recognition Data
|
| 170 |
| Dataset | ast | ca | en | es | eu | gl | oc | pt | Total |
|
|
@@ -183,39 +185,35 @@ print(history.get_assistant_messages())
|
|
| 183 |
| Total (hours) | 0.5h |2010.5h|6729.5h|2497.5h| 544h | 181h | 0.5h | 184h |12147.5h|
|
| 184 |
|
| 185 |
|
| 186 |
-

|
| 187 |
-
|
| 188 |
### Speech-To-Text Translation
|
| 189 |
|
| 190 |
-
|
| 191 |
-
> [!NOTE] Note that source audios are shared over all the target languages.
|
| 192 |
-
|
| 193 |
-
| Common Voice Corpus 21.0 - SynthS2TT | ast | ca | en | es | eu | gl | oc | pt | Total (tgt) |
|
| 194 |
-
|:-------------------------------------|:------|:------|:------|:------|:------|:------|:------|:------|:------|
|
| 195 |
-
| **ast** | - | 13min | 19min | 16min | 7min | 12min | 9min | 17min | |
|
| 196 |
-
| **ca** | | - | | | | | | | |
|
| 197 |
-
| **en** | | | - | | | | | | |
|
| 198 |
-
| **es** | | | | - | | | | | |
|
| 199 |
-
| **eu** | | | | | - | | | | |
|
| 200 |
-
| **gl** | | | | | | - | | | |
|
| 201 |
-
| **oc** | | | | | | | - | | |
|
| 202 |
-
| **pt** | | | | | | | | - | |
|
| 203 |
-
| **Total (src)** | | | | | | | | | - |
|
| 204 |
-
|
| 205 |
-
| Other Datasets | ca-en | en-ca | en-es | en-pt | es-en | es-pt | pt-en | pt-es | Total |
|
| 206 |
|:----------------------------------------------------------------------------------------------------|:------|:------|:------|:------|:------|:------|:------|:------|:------|
|
| 207 |
| [CoVoST 2](https://github.com/facebookresearch/covost/) (train) | 135.5h| 430h | | | 113h | | 10.5h | | 689h |
|
| 208 |
| [Europarl-ST v1.1](https://www.mllp.upv.es/europarl-st/) (train) | | | 75.5h | 74h | 20.5h | 12.5h | 14.5h | 9.5h | 207h |
|
| 209 |
-
| Total (hours) |
|
| 210 |
-
|
| 211 |
|
| 212 |
-

|
| 213 |
|
| 214 |
### Text-To-Text Translation
|
| 215 |
|
| 216 |
-
|
|
|
|
|
|
|
|
|
|
|
|
|
|
|
|
|
|
|
|
|
|
|
|
|
|
|
|
|
|
|
|
|
|
|
|
|
|
|
|
|
|
|
|
|
|
|
|
|
| 217 |
|
| 218 |
-

|
| 219 |
|
| 220 |
|
| 221 |
|
|
@@ -272,23 +270,17 @@ transformation = jiwer.Compose([
|
|
| 272 |
|
| 273 |
| SalamandraTAV | ast | ca | en | es | gl | pt | Avg (tgt) |
|
| 274 |
|:--------------|-----------:|----------:|----------:|----------:|-----------:|-------------:|----------:|
|
| 275 |
-
| **ast** | - | **26.
|
| 276 |
-
| **ca** | **
|
| 277 |
-
| **en** | **
|
| 278 |
-
| **es** | **13.
|
| 279 |
-
| **gl** | **
|
| 280 |
-
| **pt** | **
|
| 281 |
-
| **Avg (src)** | **
|
| 282 |
-
|
| 283 |
-
|
| 284 |
-
|
| 285 |
-
|
| 286 |
-
| **ca** | - | - | **40.0** | 20.9 | 26.1 | 27.0 | 28.5 |
|
| 287 |
-
| **en** | - | 36.7 | - | 23.7 | 29.7 | **43.0** | **33.3** |
|
| 288 |
-
| **es** | - | 16.8 | **25.4** | - | 15.3 | 14.4 | 18.0 |
|
| 289 |
-
| **gl** | - | 24.0 | **34.6** | 19.4 | - | 23.0 | **25.3** |
|
| 290 |
-
| **pt** | - | 19.3 | **38.4** | 13.3 | 15.8 | - | 21.7 |
|
| 291 |
-
| **Avg (src)** | - | 22.9 | **33.0** | 18.0 | 20.5 | 24.4 | 23.8 |
|
| 292 |
|
| 293 |
The evaluation results reported here were obtained by manually running inference with the model on the test set. We verified that the results from SeamlessM4T are consistent with the [official results](https://huggingface.co/facebook/seamless-m4t-v2-large) reported by the authors.
|
| 294 |
|
|
@@ -296,23 +288,18 @@ The evaluation results reported here were obtained by manually running inference
|
|
| 296 |
**XCOMET-XL**
|
| 297 |
|
| 298 |
|
| 299 |
-
| SalamandraTAV | ca | en
|
| 300 |
-
|
| 301 |
-
| **ca** | - | 0.
|
| 302 |
-
| **en** | **0.
|
| 303 |
-
| **es** | **0.
|
| 304 |
-
| **gl** | **0.
|
| 305 |
-
| **pt** | **0.
|
| 306 |
-
| **Avg (src)** | **0.
|
| 307 |
-
|
| 308 |
-
|
| 309 |
-
|
| 310 |
-
|
| 311 |
-
| **en** | 0.8837 | - | 0.8941 | 0.8878 | 0.8982 | 0.8910 |
|
| 312 |
-
| **es** | 0.8523 | **0.9132** | - | 0.8754 | 0.8431 | 0.8710 |
|
| 313 |
-
| **gl** | 0.8617 | **0.9238** | 0.8775 | - | 0.8743 | 0.8843 |
|
| 314 |
-
| **pt** | 0.7687 | **0.9068** | 0.7983 | 0.8207 | - | 0.8236 |
|
| 315 |
-
| **Avg (src)** | 0.8416 | **0.9195** | 0.8685 | 0.8721 | 0.8758 | 0.8755 |
|
| 316 |
|
| 317 |
XCOMET-XL results for Asturian are not reported because it is not supported by this metric.
|
| 318 |
|
|
@@ -327,37 +314,29 @@ XCOMET-XL results for Asturian are not reported because it is not supported by t
|
|
| 327 |
|
| 328 |
| SalamandraTAV | ca | en |
|
| 329 |
|:--------------|----------:|----------:|
|
| 330 |
-
| **ca** | - | **37.
|
| 331 |
| **en** | 41.1 | - |
|
| 332 |
| **es** | - | **43.9** |
|
| 333 |
-
| **pt** | - |
|
| 334 |
-
| **Avg (src)**
|
| 335 |
|
| 336 |
-
|
| 337 |
-
|
| 338 |
-
|
| 339 |
-
| **en** | **44.0** | - |
|
| 340 |
-
| **es** | - | 42.2 |
|
| 341 |
-
| **pt** | - | **54.1** |
|
| 342 |
-
| **Avg (src)** | - | **44.4** |
|
| 343 |
|
| 344 |
**XCOMET-XL**
|
| 345 |
|
| 346 |
| SalamandraTAV | ca | en |
|
| 347 |
|:--------------|----------:|----------:|
|
| 348 |
-
| **ca** | - | 0.
|
| 349 |
-
| **en** | 0.
|
| 350 |
| **es** | - | 0.9241 |
|
| 351 |
-
| **pt** | - | 0.
|
| 352 |
-
| **Avg (src)** |
|
|
|
|
|
|
|
| 353 |
|
| 354 |
-
|
| 355 |
-
|:--------------|----------:|-----------:|
|
| 356 |
-
| **ca** | - | **0.8901** |
|
| 357 |
-
| **en** | **0.9086**| - |
|
| 358 |
-
| **es** | - | **0.9383** |
|
| 359 |
-
| **pt** | - | **0.9530** |
|
| 360 |
-
| **Avg (src)** | - | **0.9271** |
|
| 361 |
|
| 362 |
</details>
|
| 363 |
|
|
@@ -372,25 +351,23 @@ Mintzai-ST has overlap with basque_parliament_1, with which we have trained our
|
|
| 372 |
|
| 373 |
| SalamandraTAV | es | eu |
|
| 374 |
|:--------------|----------:|----------:|
|
| 375 |
-
| **es** | - |
|
| 376 |
-
| **eu** | **
|
| 377 |
|
| 378 |
-
|
| 379 |
-
|
| 380 |
-
|
| 381 |
-
| **eu** | 21.0 | - |
|
| 382 |
|
| 383 |
**XCOMET-XL**
|
| 384 |
|
| 385 |
| SalamandraTAV | es | eu |
|
| 386 |
|:--------------|----------:|----------:|
|
| 387 |
-
| **es** | - | **0.
|
| 388 |
-
| **eu** | **0.
|
| 389 |
|
| 390 |
-
|
| 391 |
-
|
| 392 |
-
|
| 393 |
-
| **eu** | 0.7185 | - |
|
| 394 |
|
| 395 |
</details>
|
| 396 |
|
|
@@ -403,22 +380,14 @@ Mintzai-ST has overlap with basque_parliament_1, with which we have trained our
|
|
| 403 |
|
| 404 |
**WER**
|
| 405 |
|
| 406 |
-
| SalamandraTAV |
|
| 407 |
-
|
| 408 |
-
| ast
|
| 409 |
-
| ca
|
| 410 |
-
| en
|
| 411 |
-
| es
|
| 412 |
-
| gl
|
| 413 |
-
| pt
|
| 414 |
-
|
| 415 |
-
| SeamlessM4T | |
|
| 416 |
-
|:--------------|----------:|
|
| 417 |
-
| ca | 7.89 |
|
| 418 |
-
| en | **9.15** |
|
| 419 |
-
| es | **5.64** |
|
| 420 |
-
| gl | **7.38** |
|
| 421 |
-
| pt | **19.62** |
|
| 422 |
|
| 423 |
</details>
|
| 424 |
|
|
@@ -429,22 +398,15 @@ Mintzai-ST has overlap with basque_parliament_1, with which we have trained our
|
|
| 429 |
|
| 430 |
**WER**
|
| 431 |
|
| 432 |
-
| SalamandraTAV |
|
| 433 |
-
|
| 434 |
-
| ast
|
| 435 |
-
| ca
|
| 436 |
-
| en
|
| 437 |
-
| es
|
| 438 |
-
| gl
|
| 439 |
-
| pt
|
| 440 |
-
|
| 441 |
-
| SeamlessM4T | |
|
| 442 |
-
|:--------------|----------:|
|
| 443 |
-
| ca | **5.74** |
|
| 444 |
-
| en | **7.66** |
|
| 445 |
-
| es | **5.30** |
|
| 446 |
-
| gl | **8.00** |
|
| 447 |
-
| pt | **7.94** |
|
| 448 |
|
| 449 |
</details>
|
| 450 |
|
|
@@ -455,15 +417,11 @@ Mintzai-ST has overlap with basque_parliament_1, with which we have trained our
|
|
| 455 |
|
| 456 |
**WER**
|
| 457 |
|
| 458 |
-
| SalamandraTAV |
|
| 459 |
-
|
| 460 |
-
| es
|
| 461 |
-
| eu
|
| 462 |
|
| 463 |
-
| SeamlessM4T | |
|
| 464 |
-
|:--------------|----------:|
|
| 465 |
-
| es | 9.24 |
|
| 466 |
-
| eu | 25.69 |
|
| 467 |
|
| 468 |
</details>
|
| 469 |
|
|
@@ -478,18 +436,12 @@ For further information, please send an email to <[email protected]>.
|
|
| 478 |
### Copyright
|
| 479 |
Copyright(c) 2025 by Language Technologies Lab, Barcelona Supercomputing Center.
|
| 480 |
|
| 481 |
-
[ ] Fede
|
| 482 |
-
|
| 483 |
### Funding
|
| 484 |
-
This work
|
| 485 |
-
|
| 486 |
-
[ ] Fede
|
| 487 |
|
| 488 |
### Acknowledgements
|
| 489 |
|
| 490 |
-
|
| 491 |
-
|
| 492 |
-
[ ] Fede
|
| 493 |
|
| 494 |
### Disclaimer
|
| 495 |
Be aware that the model may contain biases or other unintended distortions.
|
|
@@ -499,8 +451,6 @@ including those governing the use of Artificial Intelligence.
|
|
| 499 |
|
| 500 |
The Barcelona Supercomputing Center, as the owner and creator of the model, shall not be held liable for any outcomes resulting from third-party use.
|
| 501 |
|
| 502 |
-
[ ] Fede
|
| 503 |
-
|
| 504 |
### License
|
| 505 |
[Apache License, Version 2.0](https://www.apache.org/licenses/LICENSE-2.0)
|
| 506 |
|
|
@@ -510,11 +460,11 @@ The Barcelona Supercomputing Center, as the owner and creator of the model, shal
|
|
| 510 |
If you find our model useful, we would appreciate if you could cite our work as follows:
|
| 511 |
|
| 512 |
```
|
| 513 |
-
@misc{
|
| 514 |
-
|
| 515 |
-
|
| 516 |
-
|
| 517 |
-
|
| 518 |
-
|
| 519 |
}
|
| 520 |
```
|
|
|
|
| 15 |
- BSC-LT/salamandraTA-7b-instruct
|
| 16 |
---
|
| 17 |
|
|
|
|
| 18 |
<!--  -->
|
| 19 |
|
| 20 |
# SalamandraTAV-7b Model Card
|
|
|
|
| 58 |
|
| 59 |
### Training Framework
|
| 60 |
|
| 61 |
+
The code used to train SalamandraTAV-7b is based on the [Transformers](https://huggingface.co/docs/transformers/) library, and will be publicly available soon.
|
| 62 |
|
| 63 |
### Compute Infrastructure
|
| 64 |
|
|
|
|
| 83 |
The easiest way to use the model is using the custom pipeline `multimodal_mt`:
|
| 84 |
```python
|
| 85 |
from transformers import pipeline
|
|
|
|
| 86 |
pipe = pipeline(
|
| 87 |
task="multimodal_mt",
|
| 88 |
model="langtech-veu/salamandra-TAV-7b",
|
|
|
|
| 120 |
Run the S2TT pipeline, specifying the target language:
|
| 121 |
```python
|
| 122 |
transcription = pipe(audio_path, mode="asr", **generation_kwargs)
|
|
|
|
| 123 |
translation = pipe(transcription, mode="t2tt", tgt_lang="Spanish", **generation_kwargs)
|
| 124 |
```
|
| 125 |
|
| 126 |
Optionally, you can also specify the source language:
|
| 127 |
```python
|
| 128 |
transcription = pipe(audio_path, mode="asr", src_lang="English", **generation_kwargs)
|
|
|
|
| 129 |
translation = pipe(transcription, mode="t2tt", src_lang="English", tgt_lang="Spanish", **generation_kwargs)
|
| 130 |
```
|
| 131 |
|
|
|
|
| 136 |
Run the S2TT pipeline, specifying the target language:
|
| 137 |
```python
|
| 138 |
history = pipe(audio_path, return_chat_history=True, mode="asr", **generation_kwargs)
|
|
|
|
| 139 |
translation = pipe(history, mode="t2tt", tgt_lang="Spanish", **generation_kwargs)
|
| 140 |
```
|
| 141 |
|
| 142 |
Optionally, you can also specify the source language:
|
| 143 |
```python
|
| 144 |
history = pipe(audio_path, return_chat_history=True, mode="asr", src_lang="English", **generation_kwargs)
|
|
|
|
| 145 |
translation = pipe(history, mode="t2tt", src_lang="English", tgt_lang="Spanish", **generation_kwargs)
|
| 146 |
```
|
| 147 |
|
|
|
|
| 150 |
If you are interested in getting the intermediate results, you can do it as follows:
|
| 151 |
```python
|
| 152 |
history = pipe(audio_path, return_chat_history=True, mode="asr", **generation_kwargs)
|
| 153 |
+
transcription = history.get_assistant_messages()[-1]
|
| 154 |
history = pipe(history, return_chat_history=True, mode="t2tt", tgt_lang="Spanish", **generation_kwargs)
|
| 155 |
+
translation = history.get_assistant_messages()[-1]
|
| 156 |
+
history = pipe(history, return_chat_history=True, mode="lid", **generation_kwargs)
|
| 157 |
+
src_language = history.get_assistant_messages()[-1]
|
| 158 |
```
|
| 159 |
|
| 160 |
|
| 161 |
## Training Data
|
| 162 |
+
|
| 163 |
+
### Global Summary
|
| 164 |
+
|
| 165 |
+
| Data Type | Hours | Samples | Tokens (target) | Tokens (total) |
|
| 166 |
+
|:--------------|:----------|:-----------|:------------------|:---------------|
|
| 167 |
+
| **ASR** | 12,147.5h | 5,207,686 | 582,567,674 | 4,180,709,878 |
|
| 168 |
+
| **S2TT** | 896h | 556,664 | 28,297,402 | 153,376,912 |
|
| 169 |
+
| **T2TT** | - | 2,242,354 | 112,837,123 | 220,328,525 |
|
| 170 |
|
| 171 |
### Automatic Speech Recognition Data
|
| 172 |
| Dataset | ast | ca | en | es | eu | gl | oc | pt | Total |
|
|
|
|
| 185 |
| Total (hours) | 0.5h |2010.5h|6729.5h|2497.5h| 544h | 181h | 0.5h | 184h |12147.5h|
|
| 186 |
|
| 187 |
|
|
|
|
|
|
|
| 188 |
### Speech-To-Text Translation
|
| 189 |
|
| 190 |
+
| Dataset | ca-en | en-ca | en-es | en-pt | es-en | es-pt | pt-en | pt-es | Total |
|
|
|
|
|
|
|
|
|
|
|
|
|
|
|
|
|
|
|
|
|
|
|
|
|
|
|
|
|
|
|
|
|
|
|
|
|
|
|
|
|
|
|
|
|
|
| 191 |
|:----------------------------------------------------------------------------------------------------|:------|:------|:------|:------|:------|:------|:------|:------|:------|
|
| 192 |
| [CoVoST 2](https://github.com/facebookresearch/covost/) (train) | 135.5h| 430h | | | 113h | | 10.5h | | 689h |
|
| 193 |
| [Europarl-ST v1.1](https://www.mllp.upv.es/europarl-st/) (train) | | | 75.5h | 74h | 20.5h | 12.5h | 14.5h | 9.5h | 207h |
|
| 194 |
+
| Total (hours) | 135.5h| 430h | 75.5h | 74h | 133.5h| 12.5h | 25h | 9.5h | 896h |
|
|
|
|
| 195 |
|
|
|
|
| 196 |
|
| 197 |
### Text-To-Text Translation
|
| 198 |
|
| 199 |
+
For T2TT data, we filtered [Wikimedia](https://dumps.wikimedia.org/other/contenttranslation/20250801/) and [Tatoeba](https://downloads.tatoeba.org/exports/per_language/) datasets using the following criteria:
|
| 200 |
+
1. Sample obtained a [GlotLID v3](https://github.com/cisnlp/GlotLID) target language probability of at least 50%
|
| 201 |
+
2. Sample contains between 5 and 100 words
|
| 202 |
+
3. Sample obtained a [BLASER 2.0](https://huggingface.co/facebook/blaser-2.0-qe) score higher than 3.75
|
| 203 |
+
|
| 204 |
+
Obtaining 102,845,818 target tokens for Wikimedia and 9,991,305 target tokens for Tatoeba, with the following language distribution:
|
| 205 |
+
|
| 206 |
+
| Language | As Source (samples) | (%) | As Target (samples) | (%) |
|
| 207 |
+
|:---------|--------------------:|:--------------|--------------------:|:--------------|
|
| 208 |
+
| **ast** | 848 | 0.0% | 11,800 | 0.5% |
|
| 209 |
+
| **ca** | 44,278 | 2.0% | 272,250 | 12.1% |
|
| 210 |
+
| **en** | 1,353,784 | 60.4% | 412,166 | 18.4% |
|
| 211 |
+
| **es** | 533,330 | 23.8% | 862,276 | 38.5% |
|
| 212 |
+
| **eu** | 5,266 | 0.2% | 79,534 | 3.5% |
|
| 213 |
+
| **gl** | 14,052 | 0.6% | 85,510 | 3.8% |
|
| 214 |
+
| **pt** | 290,754 | 13.0% | 518,776 | 23.1% |
|
| 215 |
+
| **Total**| 2,242,354 | 100.0% | 2,242,354 | 100.0% |
|
| 216 |
|
|
|
|
| 217 |
|
| 218 |
|
| 219 |
|
|
|
|
| 270 |
|
| 271 |
| SalamandraTAV | ast | ca | en | es | gl | pt | Avg (tgt) |
|
| 272 |
|:--------------|-----------:|----------:|----------:|----------:|-----------:|-------------:|----------:|
|
| 273 |
+
| **ast** | - | **26.4** | **27.7** | **17.1** | **19.7** | **21.6** | **22.5** |
|
| 274 |
+
| **ca** | **22.9** | - | 39.7 | **22.2** | **29.8** | **31.0** | **29.1** |
|
| 275 |
+
| **en** | **24.3** | **39.1** | - | **25.5** | **32.3** | **43.0** | **32.8** |
|
| 276 |
+
| **es** | **13.7** | **20.8** | 24.8 | - | **18.8** | **19.1** | **19.4** |
|
| 277 |
+
| **gl** | **18.1** | **29.4** | 32.4 | **20.6** | - | **26.0** | **25.3** |
|
| 278 |
+
| **pt** | **19.9** | **30.6** | 37.0 | **20.6** | **25.6** | - | **26.7** |
|
| 279 |
+
| **Avg (src)** | **19.8** | **29.3** | 32.3 | **21.2** | **25.2** | **28.1** | **26.0** |
|
| 280 |
+
|
| 281 |
+
**SalamandraTAV vs SeamlessM4T BLEU Difference**
|
| 282 |
+
|
| 283 |
+

|
|
|
|
|
|
|
|
|
|
|
|
|
|
|
|
|
|
|
| 284 |
|
| 285 |
The evaluation results reported here were obtained by manually running inference with the model on the test set. We verified that the results from SeamlessM4T are consistent with the [official results](https://huggingface.co/facebook/seamless-m4t-v2-large) reported by the authors.
|
| 286 |
|
|
|
|
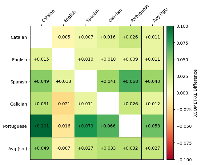
| 288 |
**XCOMET-XL**
|
| 289 |
|
| 290 |
|
| 291 |
+
| SalamandraTAV | ca | en | es | gl | pt | Avg (tgt) |
|
| 292 |
+
|:---------------|-----------:|-----------:|------------:|------------:|------------:|-----------:|
|
| 293 |
+
| **ca** | - | 0.9289 | **0.9114** | **0.9202** | **0.9136** | **0.9185** |
|
| 294 |
+
| **en** | **0.8987** | - | **0.9045** | **0.8981** | **0.9077** | **0.9023** |
|
| 295 |
+
| **es** | **0.9013** | **0.9257** | - | **0.9162** | **0.9110** | **0.9136** |
|
| 296 |
+
| **gl** | **0.8930** | 0.9024 | **0.8890** | - | **0.9005** | **0.8962** |
|
| 297 |
+
| **pt** | **0.8697** | 0.8912 | **0.8775** | **0.8862** | - | **0.8812** |
|
| 298 |
+
| **Avg (src)** | **0.8907** | 0.9121 | **0.8956** | **0.9052** | **0.9082** | **0.9023** |
|
| 299 |
+
|
| 300 |
+
**SalamandraTAV vs SeamlessM4T XCOMET-XL Difference**
|
| 301 |
+
|
| 302 |
+

|
|
|
|
|
|
|
|
|
|
|
|
|
|
|
|
| 303 |
|
| 304 |
XCOMET-XL results for Asturian are not reported because it is not supported by this metric.
|
| 305 |
|
|
|
|
| 314 |
|
| 315 |
| SalamandraTAV | ca | en |
|
| 316 |
|:--------------|----------:|----------:|
|
| 317 |
+
| **ca** | - | **37.3** |
|
| 318 |
| **en** | 41.1 | - |
|
| 319 |
| **es** | - | **43.9** |
|
| 320 |
+
| **pt** | - | 49.0 |
|
| 321 |
+
| **Avg (src)** | 41.1 | 43.4 |
|
| 322 |
|
| 323 |
+
**SalamandraTAV vs SeamlessM4T BLEU Difference**
|
| 324 |
+
|
| 325 |
+

|
|
|
|
|
|
|
|
|
|
|
|
|
| 326 |
|
| 327 |
**XCOMET-XL**
|
| 328 |
|
| 329 |
| SalamandraTAV | ca | en |
|
| 330 |
|:--------------|----------:|----------:|
|
| 331 |
+
| **ca** | - | 0.8835 |
|
| 332 |
+
| **en** | 0.8454 | - |
|
| 333 |
| **es** | - | 0.9241 |
|
| 334 |
+
| **pt** | - | 0.8967 |
|
| 335 |
+
| **Avg (src)** | 0.8454 | 0.9014 |
|
| 336 |
+
|
| 337 |
+
**SalamandraTAV vs SeamlessM4T XCOMET-XL Difference**
|
| 338 |
|
| 339 |
+

|
|
|
|
|
|
|
|
|
|
|
|
|
|
|
|
|
|
|
| 340 |
|
| 341 |
</details>
|
| 342 |
|
|
|
|
| 351 |
|
| 352 |
| SalamandraTAV | es | eu |
|
| 353 |
|:--------------|----------:|----------:|
|
| 354 |
+
| **es** | - | **21.7** |
|
| 355 |
+
| **eu** | **26.8** | - |
|
| 356 |
|
| 357 |
+
**SalamandraTAV vs SeamlessM4T BLEU Difference**
|
| 358 |
+
|
| 359 |
+

|
|
|
|
| 360 |
|
| 361 |
**XCOMET-XL**
|
| 362 |
|
| 363 |
| SalamandraTAV | es | eu |
|
| 364 |
|:--------------|----------:|----------:|
|
| 365 |
+
| **es** | - | **0.8000**|
|
| 366 |
+
| **eu** | **0.8329**| - |
|
| 367 |
|
| 368 |
+
**SalamandraTAV vs SeamlessM4T XCOMET-XL Difference**
|
| 369 |
+
|
| 370 |
+

|
|
|
|
| 371 |
|
| 372 |
</details>
|
| 373 |
|
|
|
|
| 380 |
|
| 381 |
**WER**
|
| 382 |
|
| 383 |
+
| | SalamandraTAV | SeamlessM4T | Whisper v3 | Spire |
|
| 384 |
+
|:--------------|--------------:|------------:|------------:|------:|
|
| 385 |
+
| **ast** | **29.35** | - | - | - |
|
| 386 |
+
| **ca** | **7.34** | 7.89 | 14.11 | - |
|
| 387 |
+
| **en** | 16.65 | **9.15** | 11.13 | 22.56 |
|
| 388 |
+
| **es** | 7.72 | 5.64 | **5.21** | - |
|
| 389 |
+
| **gl** | 7.83 | **7.38** | 14.50 | - |
|
| 390 |
+
| **pt** | 21.80 | 19.62 | **6.85** | - |
|
|
|
|
|
|
|
|
|
|
|
|
|
|
|
|
|
|
|
|
|
|
|
|
|
| 391 |
|
| 392 |
</details>
|
| 393 |
|
|
|
|
| 398 |
|
| 399 |
**WER**
|
| 400 |
|
| 401 |
+
| | SalamandraTAV | SeamlessM4T | Whisper v3 | Spire |
|
| 402 |
+
|:--------------|--------------:|------------:|------------:|------:|
|
| 403 |
+
| **ast** | **25.68** | - | - | - |
|
| 404 |
+
| **ca** | 7.34 | 5.74 | **4.88** | - |
|
| 405 |
+
| **en** | 8.35 | 7.66 | **4.81** | 9.07 |
|
| 406 |
+
| **es** | 6.04 | 5.30 | **2.95** | - |
|
| 407 |
+
| **gl** | 11.83 | **8.00** | 13.61 | - |
|
| 408 |
+
| **pt** | 10.55 | 7.94 | **3.97** | - |
|
| 409 |
+
|
|
|
|
|
|
|
|
|
|
|
|
|
|
|
|
|
|
|
|
|
|
| 410 |
|
| 411 |
</details>
|
| 412 |
|
|
|
|
| 417 |
|
| 418 |
**WER**
|
| 419 |
|
| 420 |
+
| | SalamandraTAV | SeamlessM4T | Whisper v3 |
|
| 421 |
+
|:--------------|--------------:|------------:|------------:|
|
| 422 |
+
| **es** | 8.21 | 9.24 | **7.37** |
|
| 423 |
+
| **eu** | **19.34** | 25.69 | 48.64 |
|
| 424 |
|
|
|
|
|
|
|
|
|
|
|
|
|
| 425 |
|
| 426 |
</details>
|
| 427 |
|
|
|
|
| 436 |
### Copyright
|
| 437 |
Copyright(c) 2025 by Language Technologies Lab, Barcelona Supercomputing Center.
|
| 438 |
|
|
|
|
|
|
|
| 439 |
### Funding
|
| 440 |
+
This work is funded by the Ministerio para la Transformación Digital y de la Función Pública - Funded by EU – NextGenerationEU within the framework of the project Modelos del Lenguaje.
|
|
|
|
|
|
|
| 441 |
|
| 442 |
### Acknowledgements
|
| 443 |
|
| 444 |
+
The author thankfully acknowledges the computer resources at MareNostrum and the technical support provided by Barcelona Supercomputing Center (RES-IM-2025-2-0027).
|
|
|
|
|
|
|
| 445 |
|
| 446 |
### Disclaimer
|
| 447 |
Be aware that the model may contain biases or other unintended distortions.
|
|
|
|
| 451 |
|
| 452 |
The Barcelona Supercomputing Center, as the owner and creator of the model, shall not be held liable for any outcomes resulting from third-party use.
|
| 453 |
|
|
|
|
|
|
|
| 454 |
### License
|
| 455 |
[Apache License, Version 2.0](https://www.apache.org/licenses/LICENSE-2.0)
|
| 456 |
|
|
|
|
| 460 |
If you find our model useful, we would appreciate if you could cite our work as follows:
|
| 461 |
|
| 462 |
```
|
| 463 |
+
@misc{bsclt2025salamandraTAV7b ,
|
| 464 |
+
title={salamandra-TAV-7b: a Speech-To-Text Translation model based on an end-to-end Speech LLM for Iberian Languages.},
|
| 465 |
+
author={…; España-Bonet, Cristina},
|
| 466 |
+
organization={Barcelona Supercomputing Center},
|
| 467 |
+
url={https://huggingface.co/langtech-veu/salamandra-TAV-7b},
|
| 468 |
+
year={2025}
|
| 469 |
}
|
| 470 |
```
|
images/s2tt-covost-bleu.png
ADDED
|
images/s2tt-covost-xcomet.png
ADDED
|
images/s2tt-fleurs-bleu.png
ADDED
|
images/s2tt-fleurs-xcomet.png
ADDED
|
images/s2tt-mintzai-bleu.png
ADDED
|
images/s2tt-mintzai-xcomet.png
ADDED
|